Practice Questions (Answers) Haloalkanes and Haloarenes
Practice Questions (Answers) Haloalkanes and Haloarenes
Ans 1. CH3 — CH2 — CH2 Br →alc. KOH→ CH3 — CH = CH2 + KBr + H2O
Ans 2. Ethyl chloride reacts with alcoholic AgNO3 to give white ppt. of AgCl. Vinyl chloride does not give this test.
CH3 — CH2 — Cl + AgNO3 + C2H5OH → AgCl¯ + CH3CH2OCH2CH3 + HNO3
Ans 3. A poisonous gas called phosgene (COCl2) is formed.
Ans 4. Free radical substitution occurs at the methyl group giving first benzyl chloride and finally benzo trichloride.

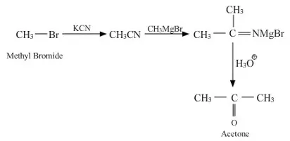
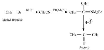
Ans 5. By using the Finkistien reaction we can do this conversion
When methyl bromide is reacted with sodium iodide in dry acetone, it forms methyl iodide and sodium bromide.
CH3Br + NaI → CH3I + NaBr
Ans 6. The structures and names of the compounds are

Ans 7. The reaction of the diazonium salt with KI gives Iodobenzene

Ans 8. The reaction of optically active 2-iodobutane with NaI undergoes multiple Walden inversion and the product contains an equimolar mixture of dextro and laevo isomers.

Ans 9. (i) RI > RBr > H2O > RCl > RF > RH
(ii) CCl4 > CHCl3 > CH2Cl2 > H2O > CH3Cl
Ans 10. The reaction of arenes with iodine is reversible in nature so aryl iodides are prepared in the presence of an oxidizing agent such as etc. in order to oxidize the HI formed during iodination.

Ans 11. Allyl chloride readily ionizes to give allyl carbocation which is resonance stabilized.

The other compound n-propyl chloride is very little ionized since n-propyl carbocation is not resonance stabilized. Therefore, ionization leading to SN1reaction is quicker in allyl chloride than n-propyl chloride so allyl chloride is hydrolyzed more readily than n-propyl chloride.
Ans 12. Grignard reagent (RMgX) is a polar molecule. So Grignard reagents are highly honey reactive and react with water (a good source of the proton) to give hydrocarbons.
RMgX + H2O → RH + Mg(OH)X
Ans 13. (i) Property of a molecule containing a carbon attached to four different atoms or groups of atoms is called chirality. The carbon atom which is bonded to four different atoms or groups of atoms is called the chiral centre.
(ii) The non-superimposable mirror-image isomers of a compound are called enantiomers. They have same physical and chemical properties. They have optical rotation equal in magnitude but opposite in sign. The non-superimposable and non-mirror image isomers of a compound are called diastereomers. They have different physical properties and different optical rotations.
Ans 16. Tert butyl alcohol is protonated by either HBr or HCl, preferably with HBr since it is a stronger acid, with the elimination of H2O molecule to form t-butyl carbocation in a slow rate-determining step. This is followed by the attack of Br– or Cl– on carbocation in a fast step. Since Br– is a better nucleophile than Cl–, its attack predominates forming t-butyl bromide as a major product.
Ans 17. Sulphuric acid is a good oxidizing agent. When KI reacts with it produces HI. In order to produce alkyl iodides (R – I), this HI should react with alcohols (R – OH) but this reaction does not take place in this manner as H2SO4 oxidizes HI to I2 which in turn does not react with alcohol.

Instead of H2SO4, H3PO4 can be used to produce alkyl iodides.
Ans 19. In the presence of water, KOH dissociates completely into OH– ions. These are strong nucleophiles and produce alcohols from alkyl halides. Hydration of OH– ions also takes place. Therefore, they are not able to abstract H+ From the β-C atom hence alkenes are not formed. In alcoholic medium solution also contains C2H5O– ethoxide ions in addition to OH– ions being a stronger base they abstract H+ ion from β-C atom give rise to an alkane as a major product (dehydrohalogenation).
Practice Questions (Answers) Haloalkanes and Haloarenes
To get Questions click








