Chemistry Practical Class 12
Chemistry Practical Class 12
TITRATION or VOLUMETRIC ANALYSIS
Aim: – To prepare M/50 Oxalic acid solution and determine the molarity, strength of the given potassium permanganate solution.
Theory: In this titration oxalic acid acts as a reducing agent and potassium permanganate acts as an oxidising agent. So, the reaction between oxalic acid and potassium permanganate is a redox reaction. In this redox reaction, carbon of oxalic acid gets oxidized to carbon dioxide and manganese present in potassium permanganate, which is in the +7 oxidation state gets reduced to colourless Mn2+ state.
Chemistry Practical Class 12
Chemical equation:
Ionic Half equations
πnO4β + 8π»+ + 5πβ β πn2+ + 4H2O] Γ 2
C2O42β β 2πΆO2 + 2πβΒ Β Β ] Γ 5
2ππO4β + 16π»+ + 5C2O42β β 2 ππ2+ + 8π»2O + 10CO2Β Β (Over all Ionic equation)
Molecular Half Equations β
2πΎππO4 + 3H2πO4 β K2πO4 + 2πππO4 + 3H2π + 5[π]
{(COOH)2. 2H2O + [O] β 2CO2 + 3H2O}Γ5
2πΎππO4 + (COOH)2. 2H2O + 3H2πO4 β K2πO4 + 2πππO4 + 10CO2 + 18H2O (Over all Molecular equation).
Chemistry Practical Class 12
Chemicals Required:
1. Oxalic acid, Potassium permanganate solution
2. Dilute sulphuric acid
3. Distilled water
Apparatus Required:
1. Electronic balance
2. Beakers
3. Burette stand
4. Burette
5. Pipette
6. Conical flask
7. Spatula
8. Funnel
9. Measuring flask
Indicator: – KMnO4 act as a self-indicator
Endpoint:- Colourless to permanent pink colour [KMnO4 in burette]
Chemistry Practical Class 12
(i) Preparation of M/50 oxalic acid solution:
The molar mass of oxalic acid (COOH)2. 2H2O) is 126 g/mol. For the preparation of
250 mL of M/50 oxalic acid solution, the amount of oxalic acid required is

so, dissolve 0.63g of oxalic acid into 250 ml of water. Now the solution is M/50 oxalic acid of volume 250 mL.
(ii) Titration of potassium permanganate solution against standard oxalic acid
solution:
1. Wash the burette, pipette, conical flask and funnel with distilled water.
2. Rinse the burette with the potassium permanganate solution and fill the burette with potassium permanganate solution.
3. Fix the burette in the burette stand and place the white tile below the burette in
order to find the endpoint correctly.
4. Rinse the pipette with the standard oxalic acid solution.
5. Pipette out 20 mL of standard oxalic acid solution into the conical flask.
6. Add a test tube full of dilute sulphuric acid to the conical flask
7. Heat the mixture up to 50 π‘π 600C before titrating it with potassium
permanganate.
8. Note down the initial reading in the burette before starting the titration.
9. Add potassium permanganate solution from burette to the solution in the flask
with stirring.
10. Initially, the pink colour of KMnO4 is discharged with the oxalic acid solution.
The appearance of a permanent pink colour indicates the endpoint.
11. At the endpoint, note down the upper meniscus on the burette readings.
12. Repeat the titration until concordant values are obtained.
13. Record the reading in the observation table.
Chemistry Practical Class 12
Observation Table:
| S.No. | Initial Reading (IR) in ml | Final Reading (FR) in ml | The volume of KmnO4 Used (FR-IR) in ml |
| 1 | |||
| 2 | |||
| 3 |
Concordant Volume of KMnO4 used = _____ mL
Calculations:
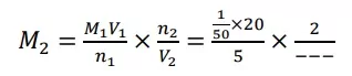
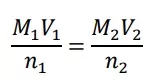
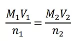
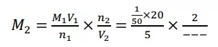
(a) Molarity calculation:- Using Molarity Equation

M1 = Molarity of Oxalic acid solution=1/50
M2 = Molarity of KMnO4 =?
V1 = Volume of Oxalic acid solution= 20 mL
V2 = Volume of KMnO4 used = Concordant reading i.e ______ mL
According to the overall ionic equation 2 moles of πππ4β reacts with 5 moles of oxalate ion (C2O42β)
n1 = 5, πππ n2 = 2

(b) Strength of KMnO4 solution = Molarity Γ Molar mass of KMnO4Β Β = ______ Γ 158 g/LΒ Β Β =________ g/L
Result: Molarity = _____ M
Strength = _____ g/L
Precautions:
1. Do not blow the air from the mouth or jerk the pipette while removing the last drop of solution. Only touch it with the bottom.
2. Rinse the burette and pipette with the solution to be used in them.
3. Do not rinse the titration flask.
4. Remove the air bubble from the nozzle of the burette
5. Read the upper meniscus for coloured solution
Chemistry Practical Class 12



